
후코이단이란?
깊은 바다 속, 미역귀나 모즈쿠같은 갈조류의 세포벽에서 나오는 자연적인 치유의 힘을 경험해보세요.
후코이단은 면역 체계를 강화하고 세포 건강을 지원하여 전반적인 웰빙을 촉진하는 후코스라는 단당체를 포함한 다당류 복합체입니다.
특히 호주, 파타고니아, 노바스코샤 등의 청정 바다에서 수확된 후코이단은 가장 깨끗한 물에서 자란 갈조류에서 추출됩니다.
그 탁월한 효능은 수 많은 학술자료들에 의해 광범위하게 입증되었습니다. 후코이단과 함께 건강을 향상시키고 바다에 감춰진 비밀을 좀 더 알아보세요.
후코이단 해조류
(후코이단은 어떤 해조류에서 추출될 수 있을까요?)
후코이단은 갈조류에서 추출됩니다. 특히 모즈쿠, 미역귀(메카브), 그리고 블래더랙과 같은 갈조류는 후코이단이 풍부한 것으로 알려져 있습니다.
이 갈조류들은 후코이단 함량 및 효능이 높은 것으로 유명하며, 호주, 파타고니아, 노바스코샤, 일본 등 세계 여러 지역의 바다에서 자랍니다.

모즈쿠 (Cladosiphon okamuranus)
모즈쿠후코이단은 오키나와산 모즈쿠에서추출한 것이 가장 청정하고 품질이 좋은 것으로 알려져 있습니다. 여러 갈조류에서 추출한 후코이단 중에서도 가장 널리 사용되고 있는 모즈쿠 추출 후코이단은 다른 후코이단에 비해 특별한 효과가 있는 것으로 발표되고 있습니다.

미역귀 (메카브-Undaria pinnatifida)
미역귀는 미역의 생식체인 포자엽 부분으로 미역의 뿌리에 가까운 줄기부분에 해당됩니다. 그런데, 미역 중에서도 이 미역귀 부분에만 후코이단이 집중적으로 함유되어 있습니다. 미역귀는 전 세계적으로 채취되지만 청정지역 타스마니아, 파타고니아 등에서 고품질 미역귀 후코이단이 생산되고 있습니다.

Bladderwrack (블래더랙-Fucus vesiculosus)
블래더랙에서 추출된 후코이단을 후쿠스 후코이단이라고 하며, 이 후쿠스 추출 후코이단이 바로 1913년 킬린교수가 발견한 세계최초의 후코이단입니다. 이 후쿠스는 주로 태평양, 대서양, 발틱해 서쪽, 북해연안 등에서 자라는 블래더랙이라는 갈조류에서 추출됩니다. 후쿠스라는 이름은 블래더랙에 함유된 후쿠스 베시큐로서스 (Fucus vesiculosus)에서 유래한 것입니다.
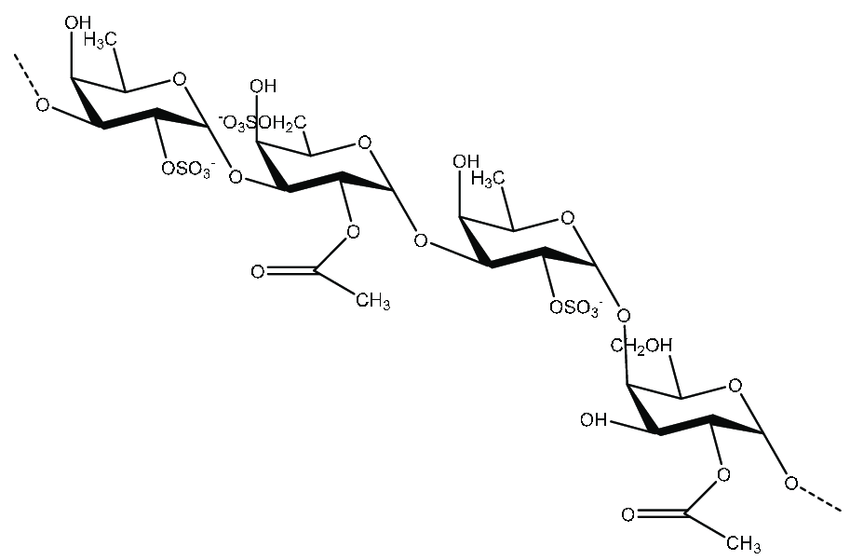
후코이단의 구조
후코이단은 구조적으로 보면, 주로 L-후코스와 황산 에스터 그룹으로 구성된 다당류의 일종으로, 갈조류에서 추출됩니다
그 구조는 해조류의 종류에 따라 크게 달라질 수 있습니다.
일반적인 구조적 성분으로는 후코스, 만노스, 갈락토오스, 포도당, 자일로스와 같은 단당류, 우론산, 때로는 아세틸 그룹과 단백질이 포함됩니다.
-
모즈쿠 (Cladosiphon okamuranus)
-
미역귀 (메카브-Undaria pinnatifida)
-
후쿠스 (블래더랙-Fucus vesiculosus)
후코이단의 구조는 추출되는 갈조류의 종류에 따라 크게 다릅니다. 따라서 다양한 종류의 후코이단은 각각 고유한 특성을 지니며, 건강에 미치는 효과도 다르게 나타납니다.
이는 모든 후코이단이 동일한 효능을 나타내는 것은 아니라는 의미입니다.
네이쳐메딕의 후코이단 제품은 다양한 효능을 가진 여러 종류의 후코이단을 복합하여 효능을 최대화한 후코이단 제품들입니다.
고분자 vs. 저분자 후코이단
고분자 후코이단과 저분자 후코이단은 분자의 크기에서 구조적으로 차이가 있습니다.
고분자 후코이단은 더 크고 복잡한 다당류 체인을 가지며, 면역 활성화를 비롯한 다양한 면에서 효과가 뛰어납니다. 하지만, 저분자 후코이단은 더 짧은 사슬을 가지고 있으며 흡수 방식이 다르기 때문에 고분자 후코이단과 같은 효과를 기대하기는 어렵습니다.
네이쳐메딕은 후코이단 본연의 효능을 최대화하기 위해 오직 고분자 후코이단만을 사용합니다.